









工作原理
STEP 1 | STEP 2 | STEP 3 |
FCS體積構建 | 光子時序信號捕獲 | 數據分析處理 |
|
|
|
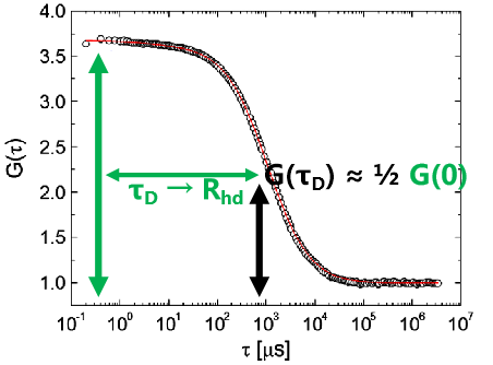
在共聚焦顯微成像光路上實現 從溶液樣品或單個活細胞內分離出約1飛升的熒光激發和信號探測體積 | 熒光標記分子自由擴散通過探測體積 SPAD探測器以約90ns分辨率捕獲光子時序信號 | 對光子時序信號進行自相關/交相關分析 得到隨相關時間T衰減的自/交相關曲線解析分子相互作用 |
產品特點
高內涵表征:同時獲取摩爾濃度、熒光亮度/寡聚態、擴散系數/粒徑、相互作用等參數。
原位表征:熒光信號可與樣品的背景信號有效區分,適用于生理樣品(細胞、血漿等)中納米顆粒的原位表征。
超靈敏表征:僅需數十微升、pM-nM濃度的溶液或單細胞樣品。
智能數據分析:配備Correlation Lite、Correlation Acquisition、Correlation Analysis等軟件,可實現批量樣品的數據自動采集與分析。
使用成本低:搭配杰萊美試劑耗材,更具經濟性。


工作原理
STEP 1 | STEP 2 | STEP 3 |
FCS體積構建 | 光子時序信號捕獲 | 數據分析處理 |
|
|
|
在共聚焦顯微成像光路上實現 從溶液樣品或單個活細胞內分離出約1飛升的熒光激發和信號探測體積 | 熒光標記分子自由擴散通過探測體積 SPAD探測器以約90ns分辨率捕獲光子時序信號 | 對光子時序信號進行自相關/交相關分析 得到隨相關時間T衰減的自/交相關曲線解析分子相互作用 |
產品特點
高內涵表征:同時獲取摩爾濃度、熒光亮度/寡聚態、擴散系數/粒徑、相互作用等參數。
原位表征:熒光信號可與樣品的背景信號有效區分,適用于生理樣品(細胞、血漿等)中納米顆粒的原位表征。
超靈敏表征:僅需數十微升、pM-nM濃度的溶液或單細胞樣品。
智能數據分析:配備Correlation Lite、Correlation Acquisition、Correlation Analysis等軟件,可實現批量樣品的數據自動采集與分析。
使用成本低:搭配杰萊美試劑耗材,更具經濟性。

